Six Nations 2016: Ireland will win according to complex mathematical formula from insurance group QBE

Ireland have the best chance of winning this year's Six Nations to claim a record third title in a row, according to a complex mathematical formula devised by insurance firm QBE.
Actuaries usually tasked with predicting the impact of catastrophes such as earthquakes and floods have devised a mathematical formula to predict the outcome of every match at the Six Nations.
England are forecast to win every game with the exception of their final fixture in France which QBE predict Eddie Jones' side will lose by a single point, costing them the title.
Read more: What is Eddie Jones like to play for? A profile of England's new boss
A range of variables including the number of tries, kicks and conversions a team has scored over the past 10 years are pumped into a computer model which has simulated the tournament 10,000 times to gauge the outcome of 150,000 games.
And there's plenty of reason for Ireland fans to feel encouraged – during the World Cup QBE correctly forecast 38 of 47 matches – and has an overall success rate of 83 per cent.
"Predictive analytics is either a dark art or a science, depending who you talk to," said QBE's director of Uk and Ireland of Middle Market and SME Matthew Crane.
"Rugby teams are not that different from businesses as they have to understand the risks and prepare for every eventuality.
"However, nothing is certain. As we saw in last year's World Cup there is never a sure outcome. England's inability to escape the group of death ultimately came down to a chance decision, either in the shape of Chris Robshaw's call not to take the last minute penalty kick or Dan Biggar's 74th minute penalty for Wales from the halfway line."
Here's how each match will finish according to QBE's maths wizards:
Week 1:
- France 33 Italy 12
- Scotland 13 England 21
- Ireland 32 Wales 21
Week 2:
- France 20 Ireland 22
- Wales 26 Scotland 21
- Italy 13 England 30
Week 3:
- Wales 23 France 19
- Italy 15 Scotland 30
- England 25 Ireland 21
Week 4:
- Ireland 44 Italy 11
- England 26 Wales 20
- Scotland 14 France 20
Week 5:
- Wales 39 Italy 12
- Ireland 30 Scotland 19
- France 18 England 17
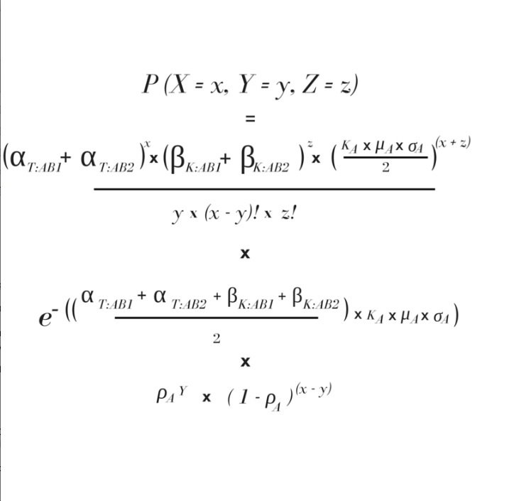
How does it work?
This is the complex mathematical formula QBE use to work out how many tries (x), conversions (y) and kicks (z) Team A is likely to score against Team B in a match:
