Facebook knows how you laugh online: Analysing digital laughter shows that “haha” is much more common than “lol”

Do you “haha” or “lol”? Or even forgo words altogether, replacing them with an emoji as your digital laughter?
Drawing from its database of over 1bn users, Facebook published figures on how we “write laughter” on the social media platform.
It seems “haha” is the most common e-laugh out there, with over half of the people expressing their mirth online opting for this expression. “Lol”, surprisingly, is least common of the four variations analysed.

But there are variations across age, gender and location, as Facebook’s Udi Weinsberg, Lada Adamic and Mike Develin noted in a blog post about their findings:
Young people and women prefer emoji, whereas men prefer longer hehes. People in Chicago and New York prefer emoji, while Seattle and San Francisco prefer hahas.
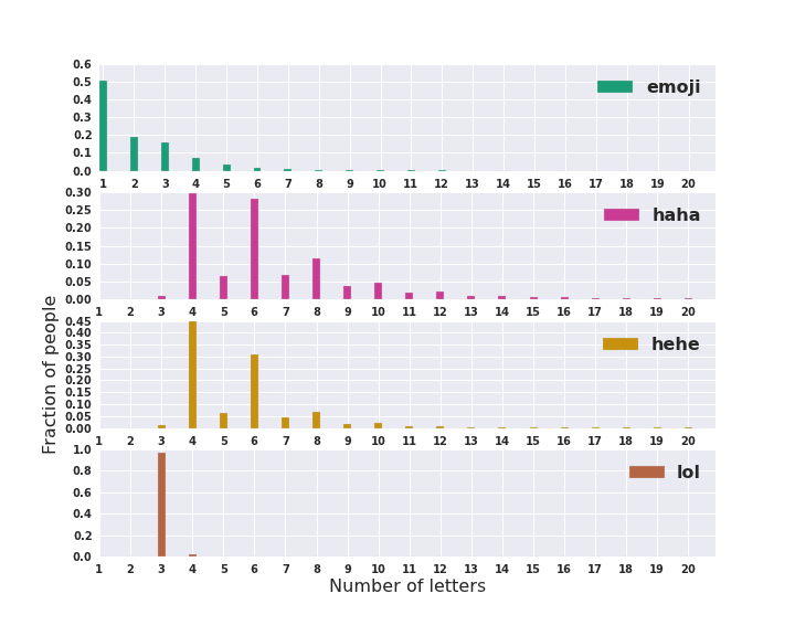
What of the length of a laugh? If someone really tickles your funny bone, do you settle for a polite “haha” or go all in with a mildly deranged “hahahaha”?
Facebook has analysed lengths too, finding that people seem to shy away from uneven numbers of letters, treating the “ha”s and “he”s as building blocks.
Although the four-letter “haha” and “hehe” are most common, six-letter permutations are also common, although “haha”-ers are slightly more open to using an odd or particularly long number of letters. (The longest they found was a “haha” over 600 letters long, in response to what we can only assume was an incredibly funny joke.)
In total, about 15 per cent of the social network’s users posted some kind of digital laughter in the week the researchers analysed.